-
백준 1193 - 분수찾기백준 algorithm 2021. 1. 4. 22:41반응형


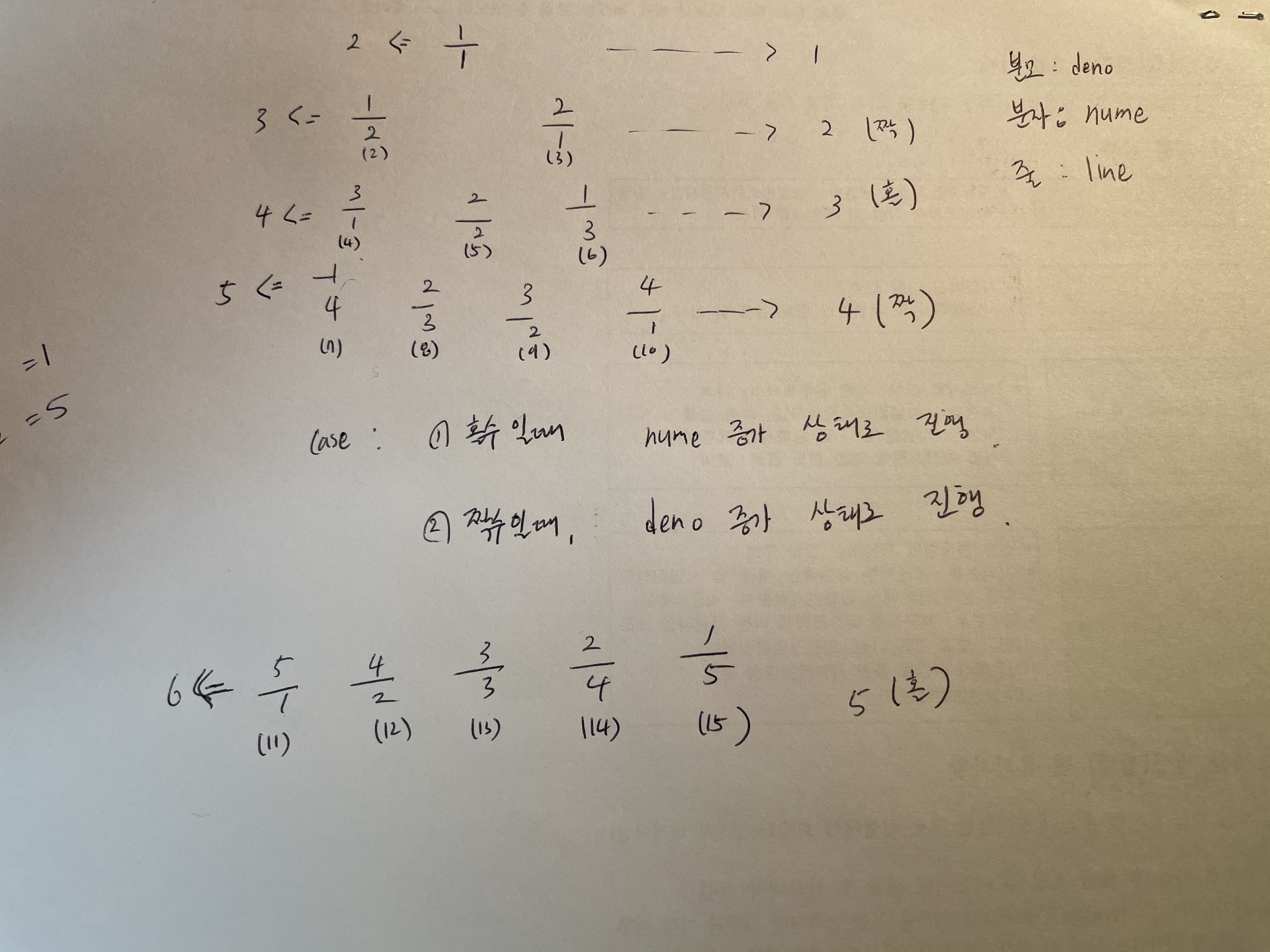
문제설명 => 단순한 규칙성을 찾는 문제입니다.
=> 처음부터 끝까지 찾아갈 경우 시간제한에 걸리는 경우가 생길 수 있습니다.
- x가 몇번째 줄에 해당하는지 찾습니다.
- 해당 줄이 짝수인지 홀수인지 판별합니다.
- 각 줄의 성질에 따라 deno(분모), nume(분자)를 구하여 print 합니다.
- 각 줄에 있는 분수는 아래의 성질을 만족합니다.
- line + 1 = 분모 + 분자
- 위의 성질을 이용하여 for문을 통한 탐색이 아닌 사칙연산으로 원하는 분수를 구할 수 있습니다.

규칙을 찾기 위해 써본 노트 #include <iostream> #include <algorithm> using namespace std; void Print(int deno, int nume) { cout<<nume<<'/'<<deno<<'\n'; } int main() { ios_base::sync_with_stdio(false); cin.tie(nullptr); cout.tie(nullptr); int deno, nume;//분모, 분자 변수 설정 deno = 1; nume = 1; int x; cin >> x; if(x == 1) // 첫번째인 경우 { Print(deno, nume); } else// 순서를 찾아야하는 경우 { deno++; //분모 2로 설정 int line = 2; //줄 횟수 int minus =2; while(1) { if(x - (minus+1) >0) //더아래로 내려갈수 있는 경우 { x -= minus++; line++; } else //줄이 해당 줄인 경우 { break; } } //cout << line ; if(line % 2 == 0) //짝수행일때 { deno =line - (x-2); nume =(line+1) - deno; Print(deno, nume); } else//홀수행일때 { nume =line - (x-2); deno = (line+1) - nume; Print(deno, nume); } } return 0; }
실행 화면 
실행 화면2 반응형'백준 algorithm' 카테고리의 다른 글
백준 1806 - 부분합 (0) 2021.11.01 백준 10757 - 큰수찾기 (0) 2021.06.30 백준 2523 - 별 찍기 - 13 (0) 2020.08.24 백준 1094 - 막대기 (0) 2020.08.09 백준 1264 - 모음의 개수 (1) 2020.07.24